Publications
Mechanically Interlocked Indigo Photoswitches: Topologically Constrained Supramolecular Interactions Enable Photoswitching In The NIR-1 Biological Window (2026)
Pre print : https://chemrxiv.org/doi/full/10.26434/chemrxiv-2026-c3w8g/v3


Advances in applied supramolecular technologies 2021–2025 (2025)
https://pubs.rsc.org/en/content/articlelanding/2025/cs/d4cs01037j
Reversibly Tuning the Viscosity of Peptide-Based Solutions Using Visible Light (2024)
https://chemistry-europe.onlinelibrary.wiley.com/doi/full/10.1002/chem.202400544

Next-generation protein-based materials capture and preserve projectiles from supersonic impacts (2023)


Controlling the structure of supramolecular fibre formation for benzothiazole based hydrogels with antimicrobial activity against methicillin resistant Staphylococcus aureus (2023)
Anionic Self-Assembling Supramolecular Enhancers of Antimicrobial Efficacy against Gram-Negative Bacteria (2022)
https://onlinelibrary.wiley.com/doi/full/10.1002/adtp.202200024


Advancements in antimicrobial nanoscale materials and self-assembling systems (2022)
Insulin Delivery Using Dynamic Covalent Boronic Acid/Ester-Controlled Release (2021)


Boronic ester derivative-dependent activity of parthenolide analogues (2021)
https://chemrxiv.org/engage/chemrxiv/article-details/617a305b0f3eebd28773d870
Molecular Boronic Acid-Based Saccharide Sensors (2021)


The Evaluation of Ester Functionalised TCF-Based Fluorescent Probes for the Detection of Bacterial Species (2021)
https://onlinelibrary.wiley.com/doi/full/10.1002/ijch.202000105
A small-molecular inhibitor against Proteus mirabilis urease to treat catheter-associated urinary tract infections (2021)


TCF-ALP: a fluorescent probe for the selective detection of Staphylococcus bacteria and application in “smart” wound dressings (2021)
Supramolecular self-associating amphiphiles (SSAs) as nanoscale enhancers of cisplatin anticancer activity (2021)


Advances in applied supramolecular technologies
Towards the Prediction of Antimicrobial Efficacy for Hydrogen Bonded, Self-Associating Amphiphiles (2020)


Enhanced Colorimetric Differentiation between Staphylococcus aureus and Pseudomonas aeruginosa Using a Shape-Encoded Sensor Hydrogel (2020)
Protein Encapsulation: A Nanocarrier Approach to the Fluorescence Imaging of an Enzyme-Based Biomarker (2020)
https://www.frontiersin.org/journals/chemistry/articles/10.3389/fchem.2020.00389/full


A boronic acid-based fluorescent hydrogel for monosaccharide detection (2020)
A Colorimetric Chemosensor Based on a Nozoe Azulene That Detects Fluoride in Aqueous/Alcoholic Media (2020)


Controllable hydrogen bonded self-association for the formation of multifunctional antimicrobial materials (2020)
https://pubs.rsc.org/en/content/articlehtml/2020/tb/d0tb00875c
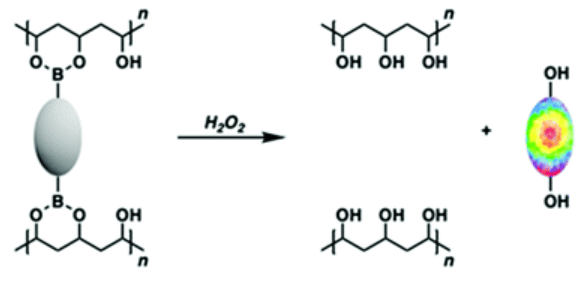
Boronate ester cross-linked PVA hydrogels for the capture and H2O2-mediated release of active fluorophores (2020)
https://pubs.rsc.org/en/content/articlehtml/2020/cc/d0cc01904f


Delivery and quantification of hydrogen peroxide generated via cold atmospheric pressure plasma through biological material (2019)
https://iopscience.iop.org/article/10.1088/1361-6463/ab4539/meta
Long Wavelength TCF-Based Fluorescent Probe for the Detection of Alkaline Phosphatase in Live Cells (2019)


Reaction-based indicator displacement assay (RIA) for the development of a triggered release system capable of biofilm inhibition (2019)
https://pubs.rsc.org/en/content/articlehtml/2019/cc/c9cc07759f
An ESIPT Probe for the Ratiometric Imaging of Peroxynitrite Facilitated by Binding to Aβ-Aggregates (2018)


Dye Displacement Assay for Saccharides using Benzoxaborole Hydrogels (2018)
Limiting Pseudomonas aeruginosa Biofilm Formation Using Cold Atmospheric Pressure Plasma (2018)
https://www.dl.begellhouse.com/journals/5a5b4a3d419387fb,56c6606e6c828bb0,3cbe0c7f1263f6b3.html

